• Предмет: Алгебра
  • Автор: pazdnikovasasha
  • Вопрос задан 3 года назад

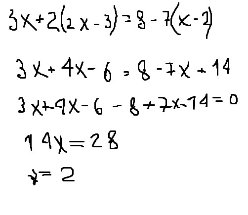
Решите уравнение:
3x+2⋅(2x-3)=8-7⋅(x-2)
Заранее спасибо!

Ответы

Ответ дал: kseniya777631
1
Решение уравнения  Во вложении 
Приложения:
Ответ дал: rrf98
1
.............................................
Приложения:
Вас заинтересует