Ответы
Ответ дал:
0
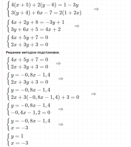
Решение во вложении.
Приложения:

vladydalov:
Эх, не добавил
Вас заинтересует
2 года назад
2 года назад
2 года назад
2 года назад
7 лет назад
7 лет назад