• Предмет: Алгебра
  • Автор: martiemiliya
  • Вопрос задан 2 года назад

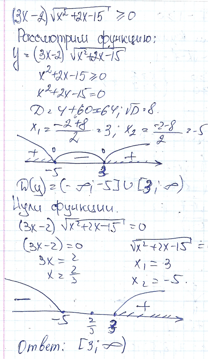
решите неравенство:
(3x-2) \sqrt{x^2+2x-15}  \geq 0

Ответы

Ответ дал: Аноним
2
******************************************
Приложения:
Вас заинтересует