помогите пожалуйста!Тему понимаю,а вот это уравнение никак не даётся a/6+3=a+186/42
kanyukova2002:
пожааалуйста!!!кто может!
Ответы
Ответ дал:
1
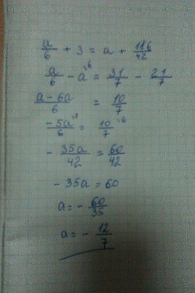
А в чём проблемы? Это обыкновенное линейное уравнение. Стратегия решения такова:
1)Работать с дробями ужасно неудобно, в математике принято от них избавляться. Поэтому умножим обе части уравнения на 42. Мы получим уравнение, равносильное данному.
7a + 126 = 42a + 186
Как мы это сделали? Просто почленно умножили каждое слагаемое на 42.
2)Теперь решаем уравнение как обыкновенное линейное уравнение.
35a = -60
a = -60/35
Что мы сделали в последнем шаге? Просто раскидали слагаемые с переменной и без неё в разные стороны.
1)Работать с дробями ужасно неудобно, в математике принято от них избавляться. Поэтому умножим обе части уравнения на 42. Мы получим уравнение, равносильное данному.
7a + 126 = 42a + 186
Как мы это сделали? Просто почленно умножили каждое слагаемое на 42.
2)Теперь решаем уравнение как обыкновенное линейное уравнение.
35a = -60
a = -60/35
Что мы сделали в последнем шаге? Просто раскидали слагаемые с переменной и без неё в разные стороны.
Ну раз всё понятно, то я считаю, что свою миссию выполнил )
я попробовала ещё раз решить это уравнение сама и получилось совершенно другой ответ
возможно, я неправильно прочитал уравнение
а+18=(а+186)/7
7(а+18)=а+186
7а-а=186-126
6а=60
а=10
7(а+18)=а+186
7а-а=186-126
6а=60
а=10
что находится в числителе второй дроби?
аааа
ну так и надо было скобки поставить
а то я думал, что a + 186/42
хотя нет. Ну тогда, я вообще ничего не понимаю, что за уравнение передо мной ;)
:)
Ответ дал:
0
...........................................................
Приложения:
может быть так?
ну так и есть, наверное
Вас заинтересует
2 года назад
2 года назад
2 года назад
7 лет назад
7 лет назад