Ответы
Ответ дал:
0
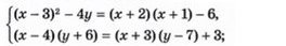
{(x-3)²-4y=(x+2)(x+1)-6
{(x-4)(y+6)=(x+3)(y-7)+3
(x-3)²-4y=(x+2)(x+1)-6
x²-6x+9-4y=x²+2x+x+2-6
x²-x²-6x-3x-4y=-4-9
-9x-4y=-13
9x+4y=13
(x-4)(y+6)=(x+3)(y-7)+3
xy-4y+6x-24=xy+3y-7x-21+3
xy-xy-4y-3y+6x+7x=-18+24
-7y+13x=6
13x-7y=6
{9x+4y=13 | умножим на "7"
{13x-7y=6 | умножим на "4"
{63x+28y=91
{52x-28y=24
Складываем два уравнения системы:
63х+52х+28у-28у=91+24
115х=115
х=1
9*1+4у=13
4у=13-9
4у=4
у=1
Ответ: х=1
у=1
{(x-4)(y+6)=(x+3)(y-7)+3
(x-3)²-4y=(x+2)(x+1)-6
x²-6x+9-4y=x²+2x+x+2-6
x²-x²-6x-3x-4y=-4-9
-9x-4y=-13
9x+4y=13
(x-4)(y+6)=(x+3)(y-7)+3
xy-4y+6x-24=xy+3y-7x-21+3
xy-xy-4y-3y+6x+7x=-18+24
-7y+13x=6
13x-7y=6
{9x+4y=13 | умножим на "7"
{13x-7y=6 | умножим на "4"
{63x+28y=91
{52x-28y=24
Складываем два уравнения системы:
63х+52х+28у-28у=91+24
115х=115
х=1
9*1+4у=13
4у=13-9
4у=4
у=1
Ответ: х=1
у=1
Вас заинтересует
2 года назад
2 года назад
2 года назад
7 лет назад
9 лет назад
9 лет назад