В чем ошибка ? VBS
Dim X()
Dim Y()
n = inputbox(vblf& " напиши значение ''n''(количество расчетов)")
Redim X(n)
Redim Y(n)
Randomize
For i = 1 to n
X(i) = 5 - 10*Rnd
Next
S=X(1)/i
For i = 2 to n
S = (X(1)/i+ X(i)/((i-1)*i)
Next
ms = " X " &" S " &vblf & "_______________________" & vblf
For i=1 to n
ms = ms & x(i) & " " & S & " " &vbLf
Next
ms=ms & "_______________________"
MsgBox ms ,," Кутнякова, Выручаев, "
Приложения:


nemolkl:
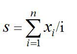
1. Исправьте s=0: for i=1 to n s=s+x(i)/i 2.в выводе цикл не нужен (промежуточные результаты не выводим) 3. Обратите внимание в необходимо использовать For Each(по заданию)
Ответы
Ответ дал:
0
Программа работает в следующем виде:
n = InputBox(vbLf & "Напиши значение ""n"" (количество расчетов)")
ReDim X(n)
ReDim Y(n)
Randomize
For i = 1 To n
X(i) = 5 - 10 * Rnd
Next
S = 0
For Each b In X
S = S + X(1) / i
Next
MsgBox "S=" & S
Нижние строки я убрал, потому что не понял, зачем они и что должны выводить: в задании про них ничего не сказано.
n = InputBox(vbLf & "Напиши значение ""n"" (количество расчетов)")
ReDim X(n)
ReDim Y(n)
Randomize
For i = 1 To n
X(i) = 5 - 10 * Rnd
Next
S = 0
For Each b In X
S = S + X(1) / i
Next
MsgBox "S=" & S
Нижние строки я убрал, потому что не понял, зачем они и что должны выводить: в задании про них ничего не сказано.
Вас заинтересует
2 года назад
2 года назад
2 года назад
7 лет назад
7 лет назад
9 лет назад