Подробно пожалуйста.
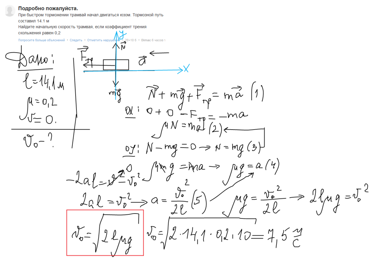
При быстром торможении трамвай начал двигаться юзом. Тормозной путь составил 14.1 м
Найдите начальную скорость трамвая, если коэффициент трения скольжения равен 0,2
Ответы
Ответ дал:
2
смотри решение на фото в приложенном файле
Приложения:
Вас заинтересует
2 года назад
2 года назад
2 года назад
2 года назад
7 лет назад
9 лет назад
9 лет назад