Ответы
Ответ дал:
1
Надеюсь разберешься!
Приложения:

Ответ дал:
1
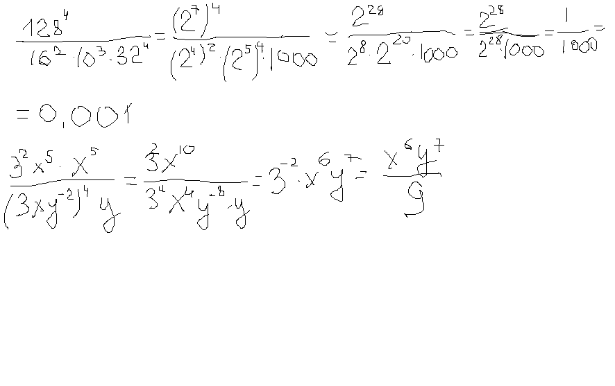
4) - (16^(-2)·(-10)^(-3))\(128^(-4)·32^4=(-(2^4)^(-2)·(-10)^(-3))\(2^7)^(-4))·(2^5)^4)=
=-(2^(-8)·(-10)^(-3))\2^(-28)·2^20=-(2^(-8)·10^(-3)\2^(-8)=-10^(-3-(-0,001)=0,001 (ответ2)
Всё представили с основанием 2 ( кроме 10). При умножении степеней показатели складываются , при делении степеней показатели вычитаются.Отрицательная степень - это число со своим показателем в знаменателе : 10^-3=1\10³=1\1000=0/001)
5)(3ху^(-2))^-4)·9x^5\(x^-5·y)=(3^-4·x^-4·y^8·3²·x^5)\x^-5·y=3^-2·x^6·y^7=x^6·y^7\9 ( 3^-2=1\9)
=-(2^(-8)·(-10)^(-3))\2^(-28)·2^20=-(2^(-8)·10^(-3)\2^(-8)=-10^(-3-(-0,001)=0,001 (ответ2)
Всё представили с основанием 2 ( кроме 10). При умножении степеней показатели складываются , при делении степеней показатели вычитаются.Отрицательная степень - это число со своим показателем в знаменателе : 10^-3=1\10³=1\1000=0/001)
5)(3ху^(-2))^-4)·9x^5\(x^-5·y)=(3^-4·x^-4·y^8·3²·x^5)\x^-5·y=3^-2·x^6·y^7=x^6·y^7\9 ( 3^-2=1\9)
Вас заинтересует
2 года назад
2 года назад
2 года назад
7 лет назад
9 лет назад