• Предмет: Информатика
  • Автор: Ахметик
  • Вопрос задан 11 лет назад

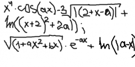
Как на языке паскаль будет это арифметическое выражение -

Приложения:

Ответы

Ответ дал: liliyav2003
0

если я правильно поняла, здесь 2 выражения?

sqr(sqr(x))*cos(a*x)-exp(1/3*ln(abs(2+x-a)))+ln(sqr(x+2)+2*a);

sqrt(1+a*x*x+6*x)*exp(-a*x)+ln(abs(a-x)).

Вас заинтересует