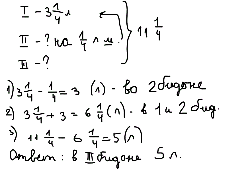
в трех бидонах 11 1/4 л молока.В первом бидоне 3 1/4л,а во втором бидоне на 1/4л меньше,чем в первом. Сколько литров молока в третьем бидоне?
Ответы
Ответ дал:
13
Во 2 бидоне:
3-целых 1/4 - 1/4= 3 (л)
В 3 бидоне
11-целых 1/4 - 3 1/4- 3=5 (л)
Ответ: 5 литров молока в 3 бидоне.
3-целых 1/4 - 1/4= 3 (л)
В 3 бидоне
11-целых 1/4 - 3 1/4- 3=5 (л)
Ответ: 5 литров молока в 3 бидоне.
Ответ дал:
14
5 литров.
Подробнее смотри на рисунке.
Подробнее смотри на рисунке.
Приложения:

Вас заинтересует
2 года назад
2 года назад
7 лет назад
7 лет назад
9 лет назад
9 лет назад