Ответы
Ответ дал:
0
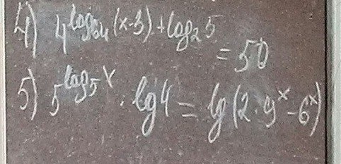
4) 4^(log64(x-3)+log2 (5))=50
4^(log4(x-3)^(1\3)·25=50 log2 5=log4^(1\2) 5=2log4 5=log4 (5²)=log4 (25)
25∛(x-3)=50
∛(x-3)=2
x-3=2³
x-3=8
x=11
5) 5^log5 x·lg4=lg(2·9^x·6^x) 5^log5 x=x
x·lg4=lg(2·9^x-6^x) xlg4=lg4^x=lg2^(2x)
2^(2x)=2·3^(2x)-3^x·2^x разделим всё на 2^(2x)
1=2·(3\2)^(2x)-(3\2)^x
2(3\2)^(2x)-(3/2)^x-1=0 введём замену переменной: (3\2)^x=y
2y²-y-1=0
D=1-4·2·(-1)=9 √D=3
y1=(1-3)\4=-1\2
y2=(1+3)\4=1 вернёмся к замене :
(3\2)^x=y1
(3\2)^x=-1\2 корней нет
(3\2)^x=1
(3\2)^x=(3\2)^0
x=0
4^(log4(x-3)^(1\3)·25=50 log2 5=log4^(1\2) 5=2log4 5=log4 (5²)=log4 (25)
25∛(x-3)=50
∛(x-3)=2
x-3=2³
x-3=8
x=11
5) 5^log5 x·lg4=lg(2·9^x·6^x) 5^log5 x=x
x·lg4=lg(2·9^x-6^x) xlg4=lg4^x=lg2^(2x)
2^(2x)=2·3^(2x)-3^x·2^x разделим всё на 2^(2x)
1=2·(3\2)^(2x)-(3\2)^x
2(3\2)^(2x)-(3/2)^x-1=0 введём замену переменной: (3\2)^x=y
2y²-y-1=0
D=1-4·2·(-1)=9 √D=3
y1=(1-3)\4=-1\2
y2=(1+3)\4=1 вернёмся к замене :
(3\2)^x=y1
(3\2)^x=-1\2 корней нет
(3\2)^x=1
(3\2)^x=(3\2)^0
x=0
natali3221:
не записала одз. В 4) х>3 , в 5 ) задании х>0
тогда в 5) х=0 не является корнем ( исключает ОДЗ) и получается , что уравнение решение не имеет))))
Вас заинтересует
2 года назад
2 года назад
2 года назад
7 лет назад
7 лет назад
9 лет назад