Ответы
Ответ дал:
0
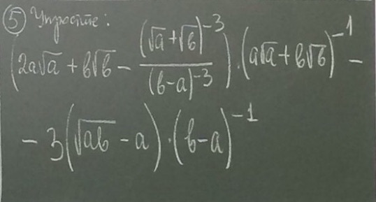
(2a√a +b√b - ((√a +√b) ^ (-3))/(b-a)^(-3))*(a√a+b√b)^(-1)
-3(√(ab) - a)*(b -a)^(-1)=
=(2a√a +b√b +(a-b)^3)/(√a +√b) ^ 3))*(1/((√a)³ +(√b)³)
-3√a*(√b -√a)*(1/(b -a) =
=(2a√a +b√b +(√a-√b)^3)/(√a+√b)^3)/(√a +√b) ^ 3))*(1/((√a)³ +(√b)³)
- 3√a*(√b -√a)*1/(√b -√a)((√b +√a) =
(2a√a +b√b +(√a-√b)^3))*1/((√a)³ +(√b)³)
- 3√a)/(√b +√a) =
(2a√a +b√b +a√a-3a√b+3b√a -b√b)*1/((√a)³ +(√b)³)
- 3√a)/(√b +√a) =
(3a√a -3a√b+3b√a)*1/((√a)³ +(√b)³) - 3√a)/(√b +√a) =
3√a(a - √ab+b)*1/((√a +√b)(a - √ab+b)) -3√a)/(√b +√a) =3√a)/(√b +√a) 3√a)/(√b +√a)=0.
-3(√(ab) - a)*(b -a)^(-1)=
=(2a√a +b√b +(a-b)^3)/(√a +√b) ^ 3))*(1/((√a)³ +(√b)³)
-3√a*(√b -√a)*(1/(b -a) =
=(2a√a +b√b +(√a-√b)^3)/(√a+√b)^3)/(√a +√b) ^ 3))*(1/((√a)³ +(√b)³)
- 3√a*(√b -√a)*1/(√b -√a)((√b +√a) =
(2a√a +b√b +(√a-√b)^3))*1/((√a)³ +(√b)³)
- 3√a)/(√b +√a) =
(2a√a +b√b +a√a-3a√b+3b√a -b√b)*1/((√a)³ +(√b)³)
- 3√a)/(√b +√a) =
(3a√a -3a√b+3b√a)*1/((√a)³ +(√b)³) - 3√a)/(√b +√a) =
3√a(a - √ab+b)*1/((√a +√b)(a - √ab+b)) -3√a)/(√b +√a) =3√a)/(√b +√a) 3√a)/(√b +√a)=0.
Вас заинтересует
2 года назад
2 года назад
2 года назад
2 года назад
7 лет назад
9 лет назад