• Предмет: Алгебра
  • Автор: alsumustafina20
  • Вопрос задан 3 года назад

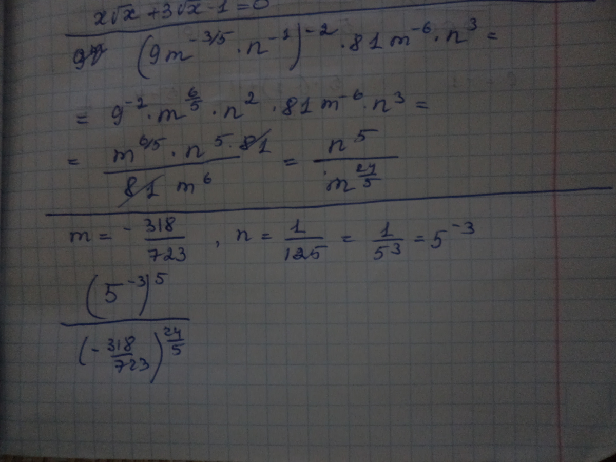
Если m=-318/723, n=1/125, то значение выражения (9*m^-3/5*n^-1)^-2*81*m^-6*n^3 равно:


Mydrый: (9*m^(-3/5)*n^(-1))^(-2)*81*m^(-6)*n^3 у меня в скобках -это степени?
alsumustafina20: да

Ответы

Ответ дал: Mydrый
1
правильно я переписала ваше задание, проверьте
Приложения:

alsumustafina20: да все правильно
Mydrый: так в ответе какая-то ерунда получается, когда числа подставляешь(
Вас заинтересует