• Предмет: Математика
  • Автор: Victorrr
  • Вопрос задан 3 года назад

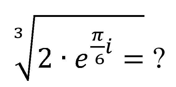
Помогите пожалуйста извлечь из-под корня...

Приложения:

Ответы

Ответ дал: IUV
0
*************************************
Приложения:
Вас заинтересует