• Предмет: Математика
  • Автор: 483135
  • Вопрос задан 11 лет назад

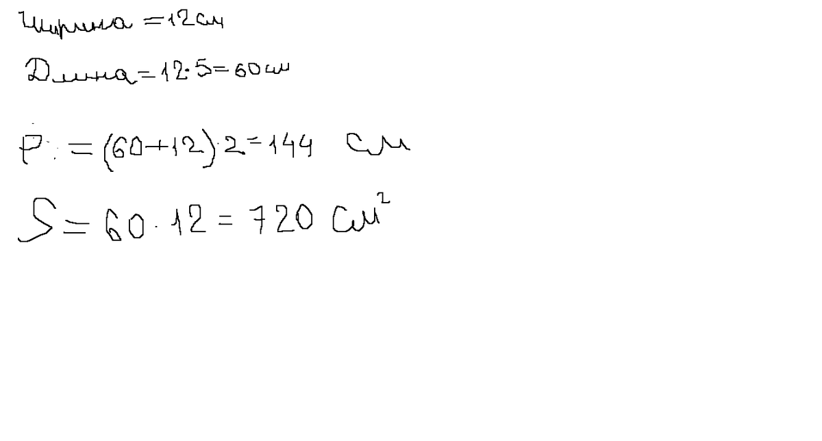
Найдите площадь и периметр прямоугольника, у которого ширина 12см,а длина в 5раз больше ширины

Ответы

Ответ дал: ник4509491
0

площадь=720  60*12

перимтр=144 (60+12)*2

Ответ дал: Boris77777
0

смотри.....................................

Приложения:
Вас заинтересует