решите 3 задачки плиз S - площадь 1)Площадь параллелограмма равна 48 см^6 ,а его периметр 40 см.Найдите стороны параллелограмма , если высота проведённая к одной из них в 3 раза меньше этой стороны
2)В ромбе ABСD диагонали равны 5 см и 12 см На диагонале AC взята точка M так , что AM:MC=4:1 Найдите Площадь AMD
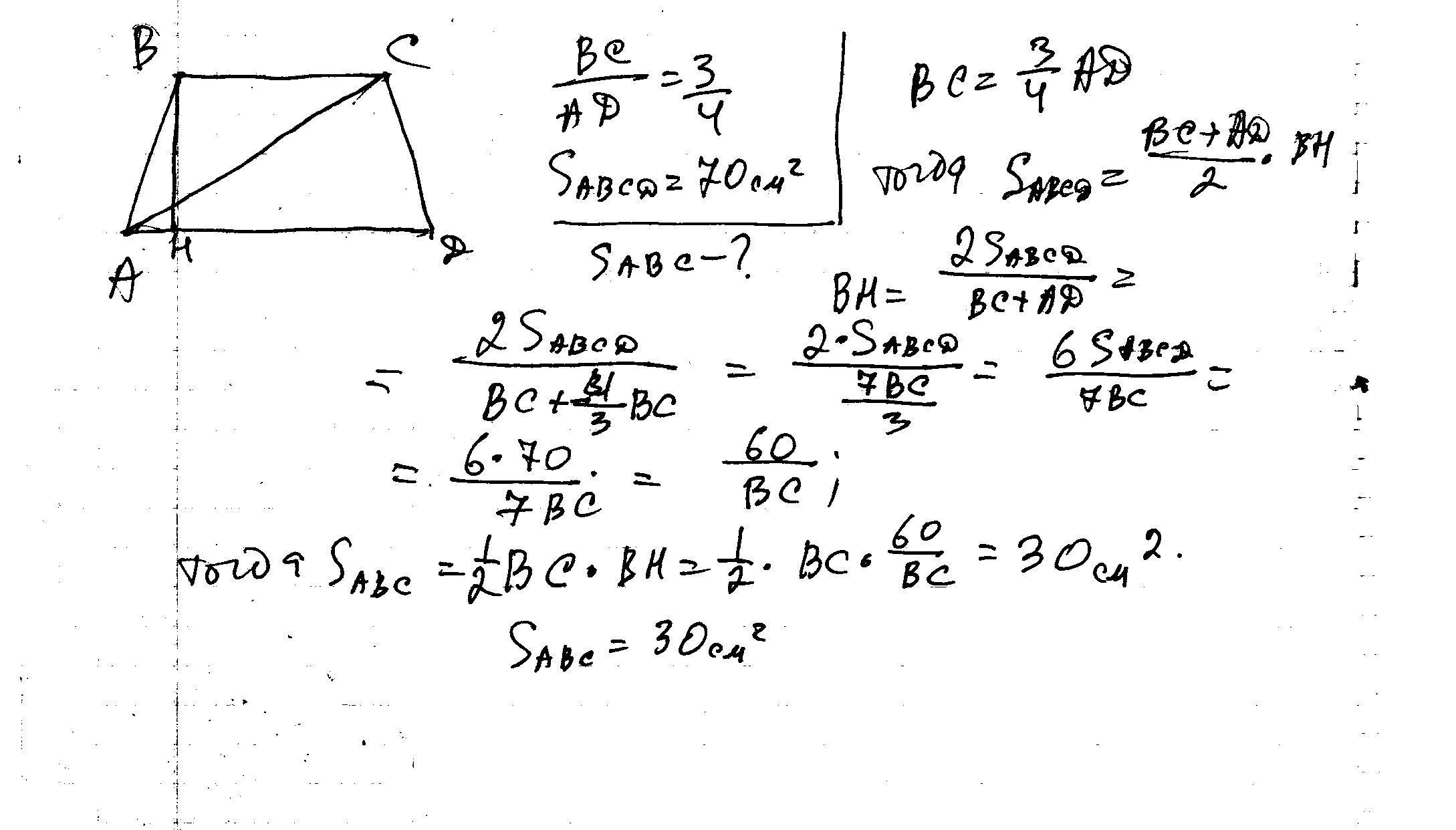
3)В Трапеции ABCD BC и AD - основания,BC:AD = 3:4 Sabcd = 70 см^2. найдите Sabc S - площадь
Ответы
Ответ дал:
0
решение в скане................
Приложения:


Вас заинтересует
2 года назад
2 года назад
8 лет назад
10 лет назад
10 лет назад
10 лет назад