Ответы
Ответ дал:
1
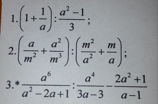
№1 (а+1)/а * 3/(а+1)(а-1)=3/а(а-1)
№2 (аm+a²)/m³ : (m²+ma)/a²= a(m+a)/m³ * a²/m(m+a)=a³/m^4
№3 = a^6/(a-1)² * 3(a-1)/a^4 - (2a²+1)/(a-1)= 3a²/(a-1) - (2a²+1)/(a-1)=(3a²-2a²-1) / (a-1)=(a²-1)/(a-1)=(a+1)(a-1)/(a-1)=a+1
№2 (аm+a²)/m³ : (m²+ma)/a²= a(m+a)/m³ * a²/m(m+a)=a³/m^4
№3 = a^6/(a-1)² * 3(a-1)/a^4 - (2a²+1)/(a-1)= 3a²/(a-1) - (2a²+1)/(a-1)=(3a²-2a²-1) / (a-1)=(a²-1)/(a-1)=(a+1)(a-1)/(a-1)=a+1
Вас заинтересует
2 года назад
7 лет назад
7 лет назад
9 лет назад