• Предмет: Алгебра
  • Автор: Alsun4ik
  • Вопрос задан 3 года назад

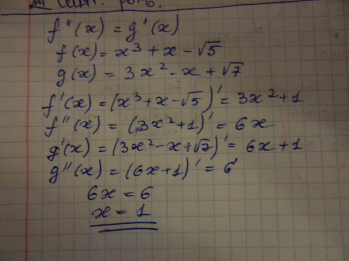
Решите неравенство f"(x)=g"(x) если f(x)=x^3+x-корень из 5 и g(x)=3x^2-x+корень из 7


Аноним: Это же равенство
Alsun4ik: так написано в самой задаче
Аноним: Ты все правильно переписал, вдруг у тебя отпечатка, проверь
Alsun4ik: все правильно написала

Ответы

Ответ дал: Mydrый
8
решение во вложениииииииииииииииииииииииииииииииииииииииииииии
Приложения:

Alsun4ik: Спасибо большое!
Alsun4ik: А не смогли бы вы еще одно задание сделать?Просто срочно нужно.
Вас заинтересует