Ответы
Ответ дал:
0
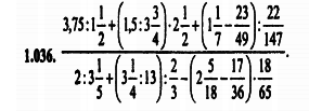
решение на фотографиях
решение на фотографиях
решение на фотографиях
Приложения:


Вас заинтересует
2 года назад
2 года назад
2 года назад
7 лет назад
7 лет назад
8 лет назад