• Предмет: Алгебра
  • Автор: StasyaHoult
  • Вопрос задан 3 года назад

Решите неравенство, только, пожалуйста, с подробным решением)

Приложения:

Ответы

Ответ дал: Mydrый
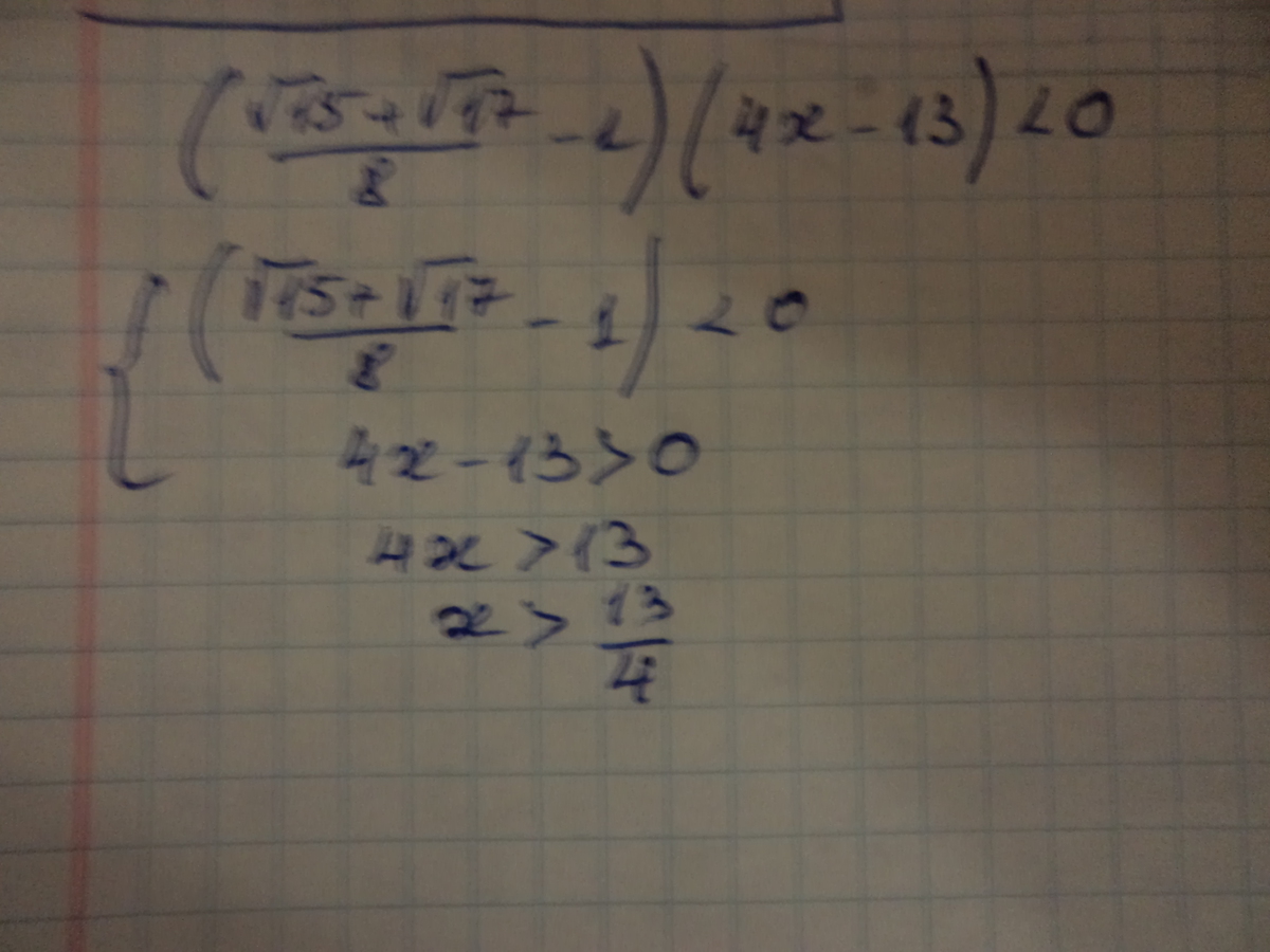
2
решение во вложениииииииииииииииииииииииииииииииииииииии
Приложения:

Аноним: как ты поставил сюда фотооо????
Mydrый: когда нажимаешь на "добавить решение", внизу есть кнопочка в виде скрепки - это вставка картинки)
Аноним: спасибо
Вас заинтересует