Ответы
Ответ дал:
0
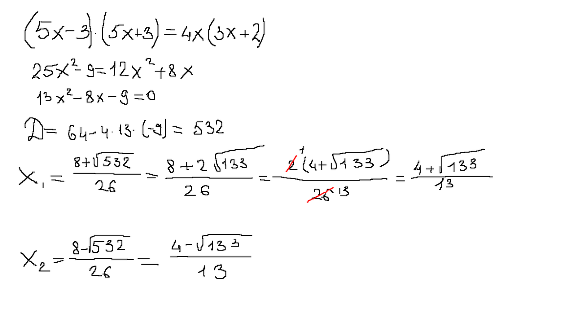
)25x^2-9=12x^2+8x
13x^2-8x-9=0
D=64-4*(-9)*13=532
x=(8+корень из 532)/26
и
x= (8-sqrt532)/26
Ответ дал:
0
Смотри..........................
Приложения:

Вас заинтересует
2 года назад
2 года назад
8 лет назад
8 лет назад
10 лет назад