помогите решить
3)значение какого выражения явл-ся числом рациональным?
а)корень из 27 - корень из 3
б)корень из 24 делить на корень из 8
в) (корень из 5 - корень из 3)и всё в квадрате
г)корень из 3 умножить на корень из 12
Приложения:

Ответы
Ответ дал:
0
3) г)
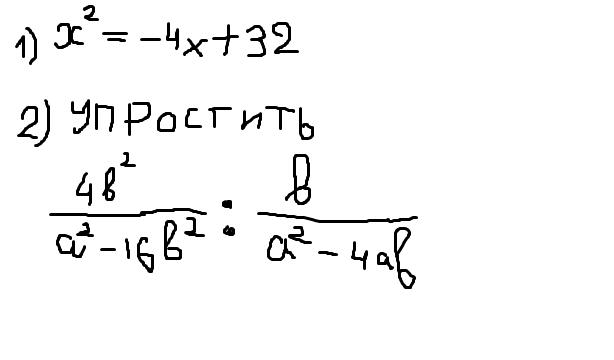
1) x^2+4x-32=0
D=16+128=144=12
x1=-4+12/2=4
x2=-4-12/2=-8
Вас заинтересует
2 года назад
8 лет назад
8 лет назад
10 лет назад
10 лет назад
10 лет назад