• Предмет: Математика
  • Автор: nastyarodionov
  • Вопрос задан 2 года назад

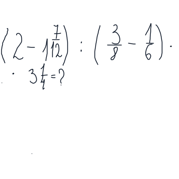
Помогите решить пример по дейсвиям :

Приложения:

Ответы

Ответ дал: Marzha777
0
1) 1) 2-1 \frac{7}{12}= \frac{24}{12}- \frac{19}{12}= \frac{5}{12} \\ 2) \frac{3}{8}- \frac{1}{6}= \frac{9-4}{24}= \frac{5}{24}  \\ 3)  \frac{5}{12}: \frac{5}{24}= \frac{5*24}{12*5}=2 \\ 4) 2*3 \frac{1}{4}=2* \frac{13}{4}= \frac{13}{2} =6\frac{1}{2}

nastyarodionov: Но в конце моегоу чебника должно получится 6 целых одна вторая
Marzha777: извините, исправила ошибку
nastyarodionov: нет я не могуни как решить:с
Marzha777: что именно не понятно?
nastyarodionov: Я все понимаю просто ответ не получается ,я раз 5 переделавала
Marzha777: давай по действиям проверим?
Вас заинтересует