Ответы
Ответ дал:
0
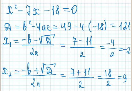
x^2-7x=18
x^2-7x-18=0
D=49+72=121
x1=7+11/2=9
x2=7-11/2=-2
x^2-7x-18=0
D=49+72=121
x1=7+11/2=9
x2=7-11/2=-2
Ответ дал:
0
Решить уравнение х в квадрате -7х=18
Приложения:
Вас заинтересует
2 года назад
2 года назад
2 года назад
2 года назад
7 лет назад
7 лет назад
9 лет назад