• Предмет: Физика
  • Автор: arty6
  • Вопрос задан 3 года назад

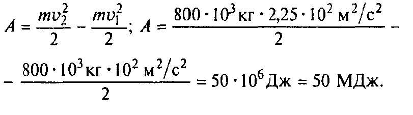
какую работу надо совершить,чтобы скорость поезда массой 800т увеличилась от 36 до 54м/с

Ответы

Ответ дал: mariaa2000
7
Вот ответ)
думаю что правильный, удачи  в решении) 

Приложения:
Вас заинтересует