• Предмет: Алгебра
  • Автор: KreditNIK
  • Вопрос задан 11 лет назад

При каких значениях Х: Дробь (6-5х)/(х+25) принимает положительные значения?

Ответы

Ответ дал: Artem112
0

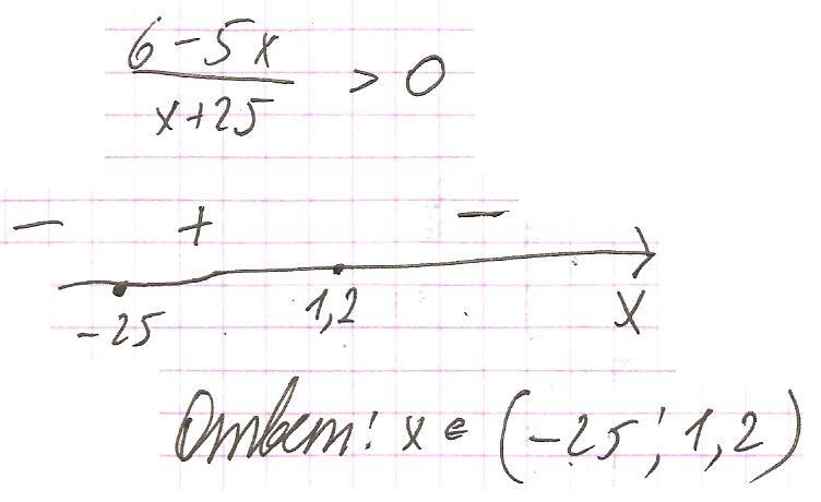
(6-5х)/(х+25) и далее по картинке

Приложения:
Ответ дал: miad
0

ОДЗ xneq-25

 

Далее это равносильно (6-5x)*(x+25)>0

Первый множитель меняет знак при переходе через x=6/5=1.2 (6-5x=0 6=5x x=6/5)

Второй множитель меняет знак при переходе через x=-25 (x+25=0 x=-25)

Оба множителя в нечетной (первой) степени, значит при переходе через их корни выражение будет менять знак на противоположный.

Выясним знак при 0: (6-5*0)*(0+25)=6*25>0

Значит в интервале от -25 до 1,2 (где находится 0) это выражение будет принимать положительные значения.

ОТВЕТ (-25;1,2)

Приложения:
Вас заинтересует