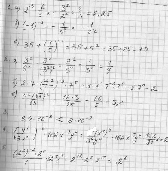
Решите пожалуйста!!! это не контр., не самостоятельная. домашняя работа в роспечатке. решите срочно!!!
Приложения:

Ответы
Ответ дал:
1
Не спать!!!!!!!!!!!!!!!!
Приложения:

aniasya:
даа, спасибо, большое☺☺
Вас заинтересует
2 года назад
2 года назад
2 года назад
7 лет назад
7 лет назад
8 лет назад