• Предмет: Алгебра
  • Автор: выыя
  • Вопрос задан 3 года назад

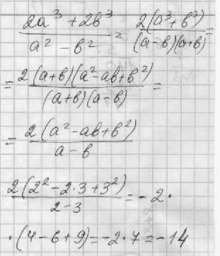
найдите значение алгебраической дроби, предварительно сократив её 2а^3+2в^3/а^2-в^2 при а= 2, при в=3

Ответы

Ответ дал: математик2011
2
Научись правильно записывать условие! Надо брать в скобки - всё что в числителе и всё что в знаменателе

Приложения:
Вас заинтересует