Ответы
Ответ дал:
4
///////////////////////////////////////
Приложения:
Ответ дал:
2
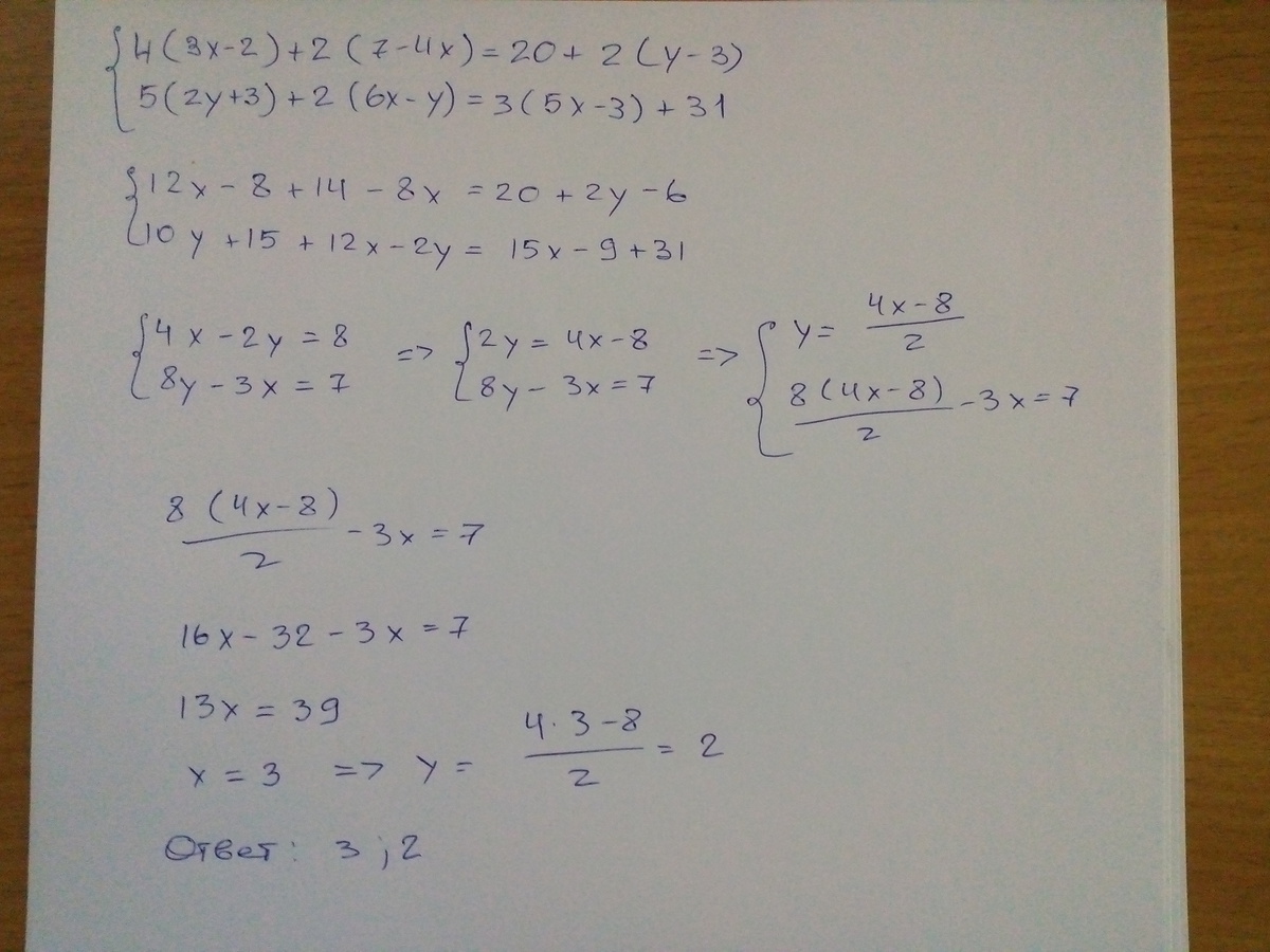
Раскрываем скобки:
12х-8+14-8х=20+2у-6
10у+15+12х-2у=15х-9+31
12х-8+14-8х-20-2у+6=0
10у+15+12х-2у-15х+9-31=0
4х-2у-8=0
-3х+8у-7=0
2х-у-4=0
3х-8у+7=0
у=2х-4
3х-8у+7=0
Подставляем у во второе уравнение:
3х-8(2х-4)+7=0
3х-16х+32+7=0
39-13х=0
-13х=-39
х=3
Подставляем х в первое уравнение:
у=2*3-4
у=2
Ответ:х=3 , у=2
12х-8+14-8х=20+2у-6
10у+15+12х-2у=15х-9+31
12х-8+14-8х-20-2у+6=0
10у+15+12х-2у-15х+9-31=0
4х-2у-8=0
-3х+8у-7=0
2х-у-4=0
3х-8у+7=0
у=2х-4
3х-8у+7=0
Подставляем у во второе уравнение:
3х-8(2х-4)+7=0
3х-16х+32+7=0
39-13х=0
-13х=-39
х=3
Подставляем х в первое уравнение:
у=2*3-4
у=2
Ответ:х=3 , у=2
Вас заинтересует
2 года назад
2 года назад
7 лет назад
7 лет назад
9 лет назад