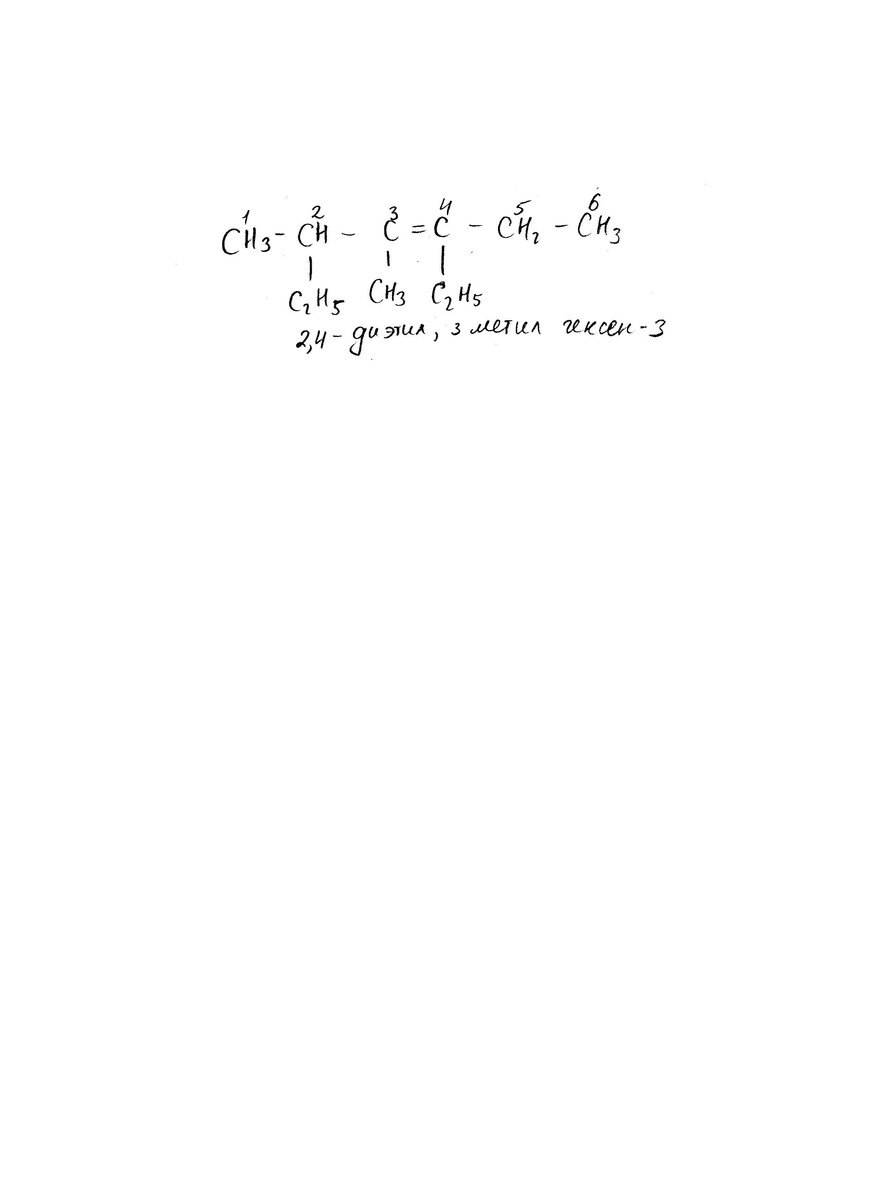
2,4-диэтил-3-метилгексан-3
Помогите с формулой
bearcab:
Здесь, наверное, 2,4-диэтил-3-метилгексен-3. Так как непредельный углеводород. В конце не гексан, а гексен
Ответы
Ответ дал:
3
Решение смотри во вложении. Должно быть понятно. Второе вложение 3-аминобутановая кислота
Приложения:


Вас заинтересует
2 года назад
2 года назад
2 года назад
2 года назад
7 лет назад
8 лет назад