• Предмет: Алгебра
  • Автор: denis36000
  • Вопрос задан 3 года назад

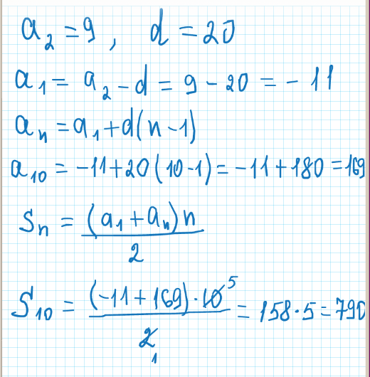
в арифметической прогрессии второй член равен 9 а разность равна 20 найдите десятый член этой прогрессии и сумму первых десяти ее челенов.


Очень
Срочно

Ответы

Ответ дал: zanjabill
57
Арифметическая прогрессия
Приложения:
Вас заинтересует