Ответы
Ответ дал:
1
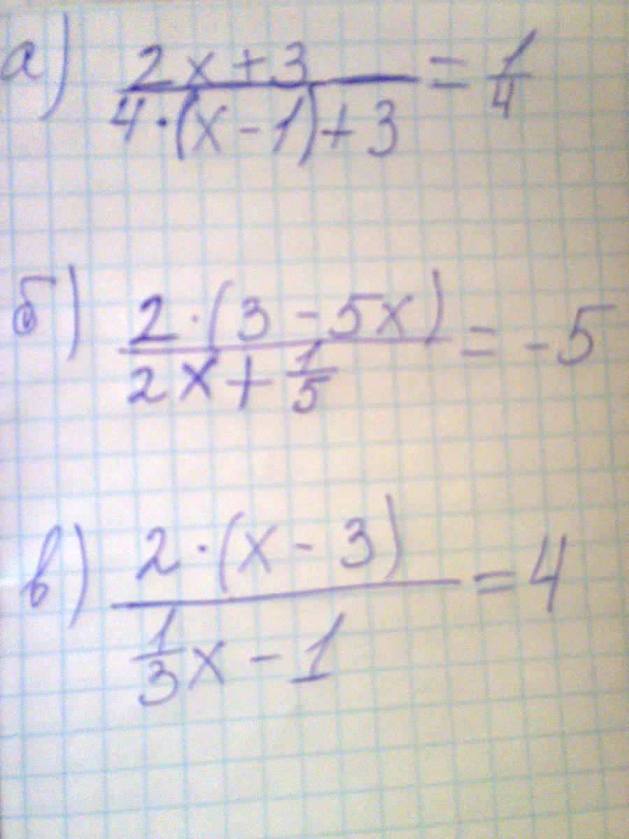
a) 2x+3 = 1
4(x-1)+3 4
2x+3 = 1
4x-4+3 4
2x+3 = 1
4x-1 4
4x-1≠0
4x≠1
x≠0.25
2x+3 - 1 =0
4x-1 4
Общий знаменатель: 4(4х-1)
4(2х+3)-(4х-1)=0
8х+12-4х+1=0
4х+13=0
4х=-13
х=-3,25
Ответ: -3,25
б) 2(3-5x) =-5
2x+ 1
5
2x+1 ≠0
5
2x≠- 1
5
x≠ - 1
10
x≠-0.1
2(3-5x) +5 =0
2x+ 1
5
Общий знаменатель: 2х+1
5
2(3-5x)+5(2x+1) =0
5
6-10x+10x+1=0
0x=-7
нет решений
Ответ: нет решений.
в) 2(x-3) =4
1 x-1
3
1 x -1≠0
3
x ≠ 1
3
x≠3
2(x-3) - 4 =0
1 x -1
3
Общий знаменатель: 1 х -4
3
2(x-3)-4(1 x-1) =0
3
2x-6 -4 x +4=0
3
2x -2 =0
3
2x =2
3
2x=6
x=3 - не подходит, так как х≠3
нет решений.
Ответ: нет решений.
4(x-1)+3 4
2x+3 = 1
4x-4+3 4
2x+3 = 1
4x-1 4
4x-1≠0
4x≠1
x≠0.25
2x+3 - 1 =0
4x-1 4
Общий знаменатель: 4(4х-1)
4(2х+3)-(4х-1)=0
8х+12-4х+1=0
4х+13=0
4х=-13
х=-3,25
Ответ: -3,25
б) 2(3-5x) =-5
2x+ 1
5
2x+1 ≠0
5
2x≠- 1
5
x≠ - 1
10
x≠-0.1
2(3-5x) +5 =0
2x+ 1
5
Общий знаменатель: 2х+1
5
2(3-5x)+5(2x+1) =0
5
6-10x+10x+1=0
0x=-7
нет решений
Ответ: нет решений.
в) 2(x-3) =4
1 x-1
3
1 x -1≠0
3
x ≠ 1
3
x≠3
2(x-3) - 4 =0
1 x -1
3
Общий знаменатель: 1 х -4
3
2(x-3)-4(1 x-1) =0
3
2x-6 -4 x +4=0
3
2x -2 =0
3
2x =2
3
2x=6
x=3 - не подходит, так как х≠3
нет решений.
Ответ: нет решений.
Вас заинтересует
2 года назад
2 года назад
2 года назад
2 года назад
7 лет назад
9 лет назад