• Предмет: Математика
  • Автор: pohardcory
  • Вопрос задан 3 года назад

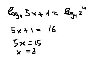
Log4 (5x+1)=2 РЕШИТЕ ПЛИЗ

Ответы

Ответ дал: Ленгит
9
.........................................
Приложения:
Вас заинтересует