Ответы
Ответ дал:
0
угол а=180-70-80=30град
сторона а=(b*sin80)/sin70 b=a*sin70/sin80=5*0,9397/0,9848=4,8
a^2=b^2+c^2-2bc*cos80
25=23,04+c^2-2*4,8*0,1736*c
c^2-1,7c=1,96
c=2,48
Ответ дал:
0
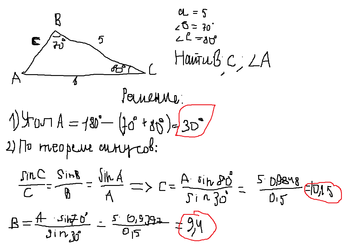
Подробное решение во вложенном файле. Ответы округлены с точностью до десятых. Заранее извиняюсь за неровный рисунок (он в принципе понятный).............................................................................................................................
Приложения:

Вас заинтересует
2 года назад
8 лет назад
8 лет назад
10 лет назад
10 лет назад