помогите лабораторная работа со сборкой микроскопа и определение его увеличение
дано:
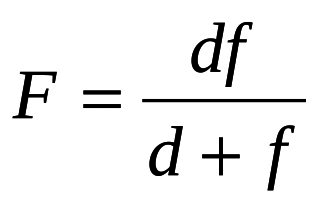
d=0,095 метров
f=0,04 метров
по формуле на картинке
Приложения:

Redicka5:
Как добавить фото?
Ответы
Ответ дал:
0
0.0038:0.135=0.02814815
Вас заинтересует
2 года назад
2 года назад
7 лет назад
9 лет назад