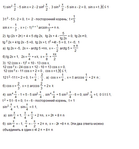
Уровень 1 1. Решите уравнение, преобразовав их к квадратным относительно какой-либо тригонометрической функции
a) sin(квадрат)x/2-5sin x/2=2 cos(квадрат)x/2
б) tg (2(x+П))+4=5tg (3П/2-2x)
В) 12(cos x-cos(квадрат)x/2- sin(квадрат)x/2)(в квадрате скобка) = 10-13cos x
д) 4 sin(в четвертой) x/4-1= 5 cos(квадрат)x/4
Помогите пожалуйста буду признателен
Ответы
Ответ дал:
0
использованы формулы для простейших тригонометрических уравнений, основное тригонометрическое тождество, квадратное и биквадратное уравнения
Приложения:

Вас заинтересует
2 года назад
2 года назад
8 лет назад
8 лет назад
10 лет назад
10 лет назад