• Предмет: Алгебра
  • Автор: parnazz
  • Вопрос задан 2 года назад

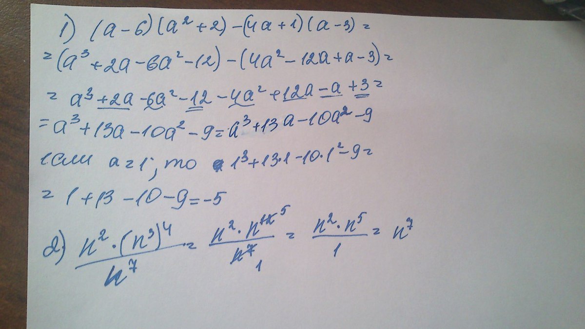
1.Найдите. Приз значение выражения (a-6)(a^2+2)-(4a +1)(a-3) при a=1
2.n^2*(n^3)^4/n^7

Ответы

Ответ дал: Reim
2
Надеюсь условие правильно поняла
Приложения:
Вас заинтересует