• Предмет: Алгебра
  • Автор: Dreamerr
  • Вопрос задан 11 лет назад

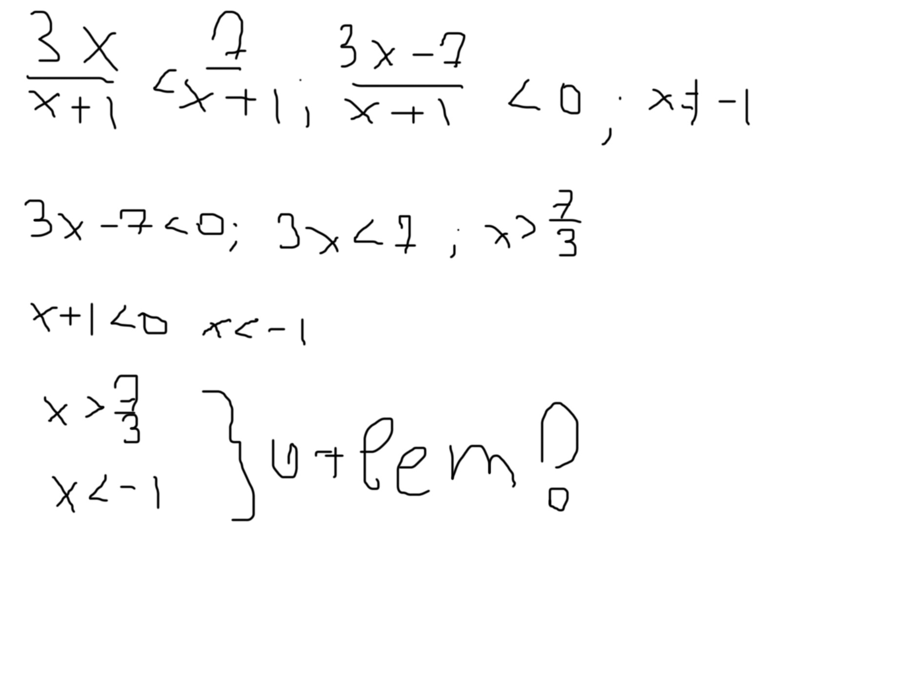
Розв'яжіть нерівність: 3х/х+1<7/х+1 /-знак дроби и обьясните как решать))

Ответы

Ответ дал: tonechka1996
0

................................

Приложения:
Вас заинтересует