• Предмет: Алгебра
  • Автор: rus1997
  • Вопрос задан 11 лет назад

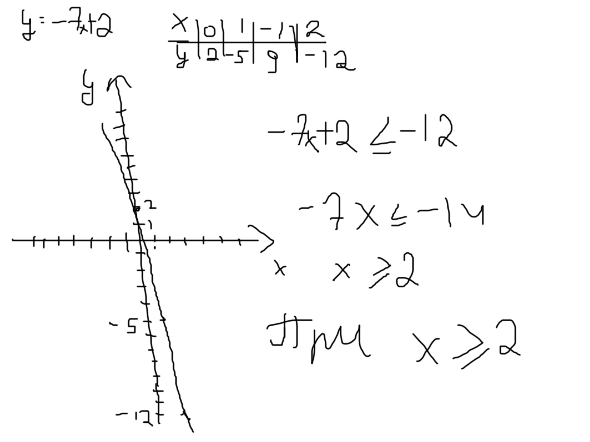
Построить график функции y=-7x+2 и найти, при каких значениях x значения y не больше -12. 

Ответы

Ответ дал: tonechka1996
0

кривовато-то правдо:))) но сойдет,вроде понятно)

Приложения:
Ответ дал: Аноним
0

см.рис

 

 

-7x+2≤-12

-7x≤-14

x≥2

=========================

Приложения:
Вас заинтересует