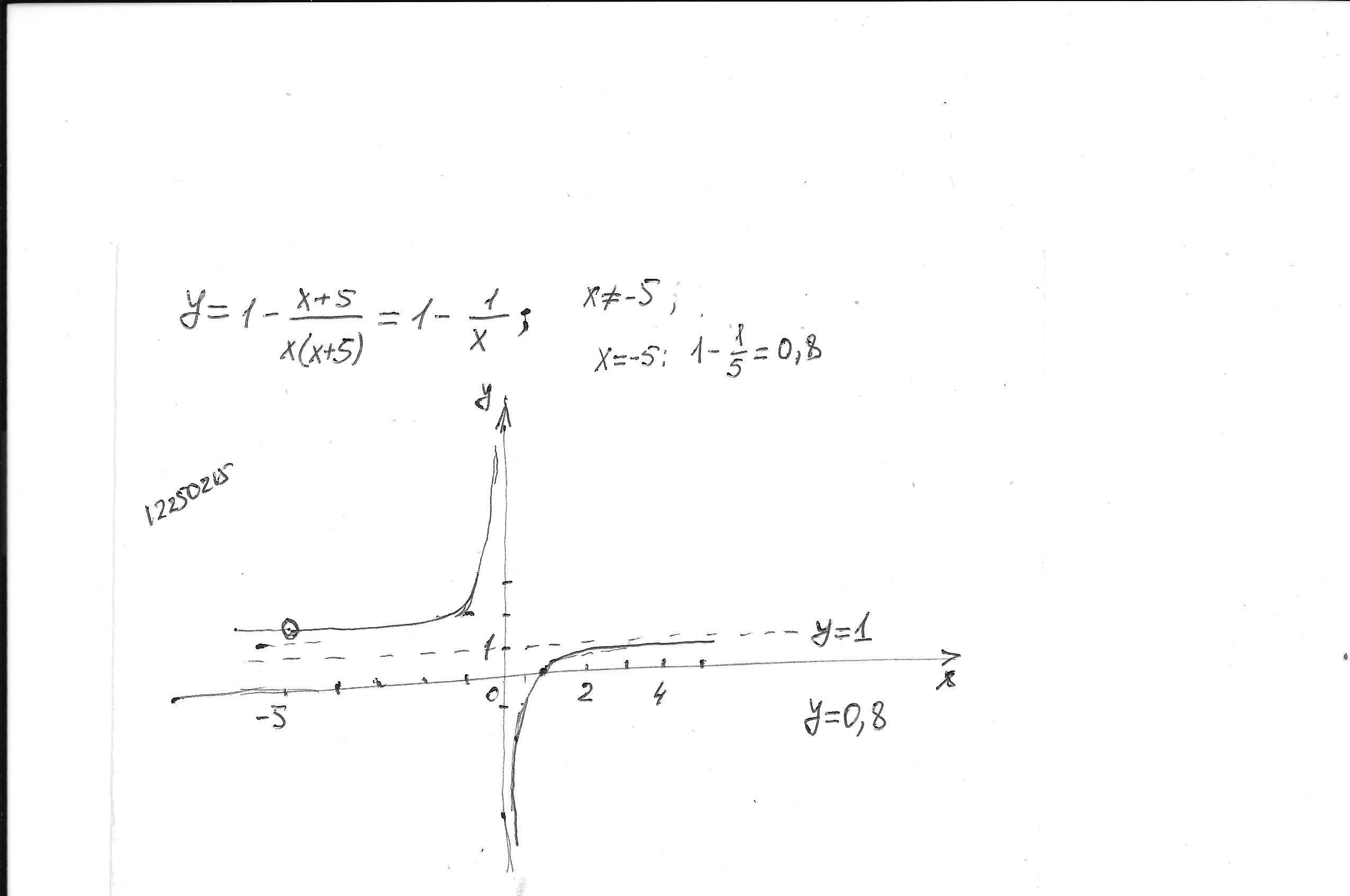
Постройте график функции и определите, при каких значениях m прямая у=m не имеет с графиком ни одной общей точки.
Выручайте
Приложения:
Ответы
Ответ дал:
2
y(-5)= 1-1/(-5)=1+1/5=1,2
при m=1,2 m=1 график не имеет точек пересечения с прямой y=m
Приложения:
Вас заинтересует
2 года назад
2 года назад
2 года назад
2 года назад
7 лет назад
7 лет назад
9 лет назад