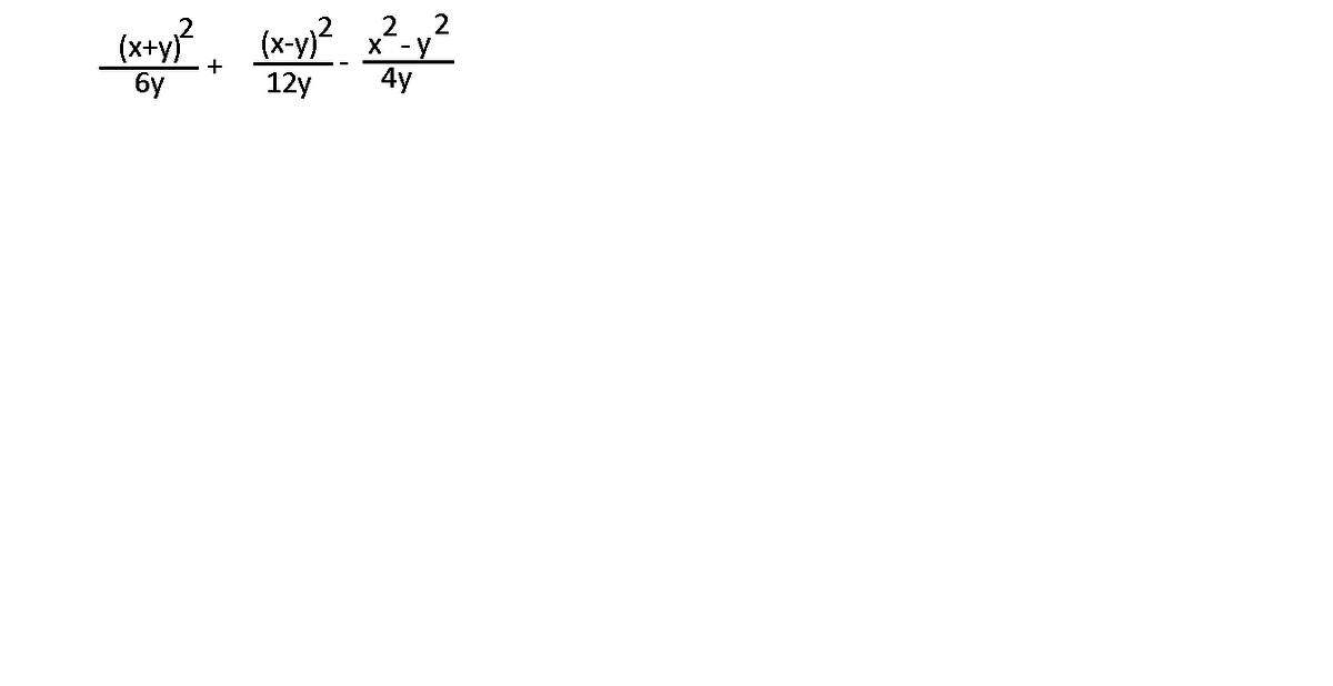
Решите пожалуйста по алгебре 11111111111111111111111111111111
Приложения:
UniPuff:
тип упроститьН7
Ответы
Ответ дал:
0
как-то так, в кружечке это типо я считала числитель, ответ у меня вышел
0.5у+1/3x
0.5у+1/3x
Приложения:
Вас заинтересует
2 года назад
2 года назад
2 года назад
2 года назад
7 лет назад
7 лет назад
9 лет назад