Ответы
Ответ дал:
1
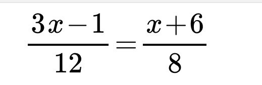
(3x-1)/12=(x+6)/8 |*24
2(3x-1)=3(x+6)
6x-2=3x+18
6x-3x=18+2
3x=20
x=20/3
x=6 2/3
2(3x-1)=3(x+6)
6x-2=3x+18
6x-3x=18+2
3x=20
x=20/3
x=6 2/3
BrunaMar:
спасибо)
Вас заинтересует
2 года назад
2 года назад
2 года назад
2 года назад
7 лет назад
7 лет назад
9 лет назад