Ответы
Ответ дал:
0
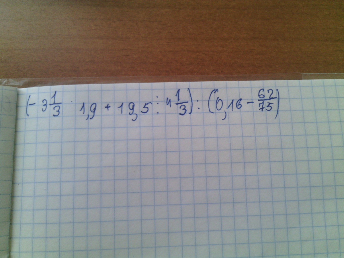
1) (- 3 1/3) *1,9=(- 3 1/3) * 1 9/10 = ( - 10/3) * 19/10 = - 19/3 = - 6 1/3
2) 19,5 : 4 1/3 = 19 5/10 : 4 1/3 = 39/2 : 13/3 = 39/2 * 3/13 = 9/2 = 4 1/2
3) - 6 1/3 + 4 1/2 = - 19/3 + 9/2 =38/6 + 27/6 = - 11/6 = - 1 5/6
4)0,16 - 62/75 = 16/100 - 62/75 = 4/25 - 62/75 =12/75 - 62/75 = - 50/75 = - 2/3
5) (- 1 5/6) : (- 2/3) = ( - 11/6) : ( - 2/3) = ( - 11/6) * ( - 3/2) = 11/4 = 2 3/4 = 2,75
2) 19,5 : 4 1/3 = 19 5/10 : 4 1/3 = 39/2 : 13/3 = 39/2 * 3/13 = 9/2 = 4 1/2
3) - 6 1/3 + 4 1/2 = - 19/3 + 9/2 =38/6 + 27/6 = - 11/6 = - 1 5/6
4)0,16 - 62/75 = 16/100 - 62/75 = 4/25 - 62/75 =12/75 - 62/75 = - 50/75 = - 2/3
5) (- 1 5/6) : (- 2/3) = ( - 11/6) : ( - 2/3) = ( - 11/6) * ( - 3/2) = 11/4 = 2 3/4 = 2,75
Вас заинтересует
2 года назад
2 года назад
2 года назад
2 года назад
7 лет назад
9 лет назад