Ответы
Ответ дал:
1
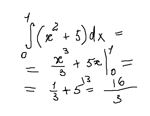
По формуле Ньютона-Лейбница
см рис
----------------------------------------------
см рис
----------------------------------------------
Приложения:
Вас заинтересует
2 года назад
2 года назад
2 года назад
2 года назад
7 лет назад
7 лет назад
9 лет назад
9 лет назад