• Предмет: Алгебра
  • Автор: picsa
  • Вопрос задан 3 года назад

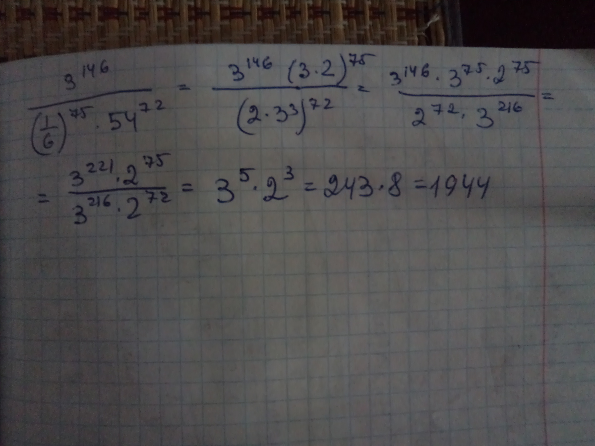
3^146/(1/6)^75*54^72

Приложения:

Ответы

Ответ дал: Mydrый
4
решение во вложенииииииииииииииииииииииииииииии
Приложения:

picsa: Спасибо огромное спас!!!
Вас заинтересует