• Предмет: Алгебра
  • Автор: gag99
  • Вопрос задан 3 года назад

ПОМОГИТЕ!!!!!!!!!!!!!
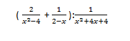
Упростите выражение

Приложения:

Ответы

Ответ дал: nikitka06
1
 (-\frac{2}{ (2-x)^{2} }+ \frac{1}{(2-x)})  : \frac{1}{(2+x)^2}=(\frac{2+x-2}{(2-x)^2}) : \frac{1}{ (2+x)^{2}}= \frac{x*(2+x)(2+x)}{(2-x)(2+x)}=
\frac{x*(2+x)}{2-x}
Вас заинтересует