• Предмет: Математика
  • Автор: oksixd
  • Вопрос задан 2 года назад

помогите решить систему уравнений, пожалуйста!
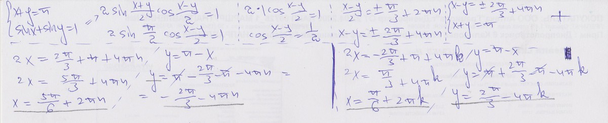
х+у=пи
sinx+siny=1

я думала, что нужно выразить x: х=пи-у
получается: sin(пи-y)+siny=1; siny+siny=1; 2siny=1; siny=0,5; y=(-1)^n пи/6+пи n
а что дальше?

Ответы

Ответ дал: philadelphiaex
1
Ответ находиться во вложении.
Приложения:
Вас заинтересует