• Предмет: Алгебра
  • Автор: Kyva110599
  • Вопрос задан 3 года назад

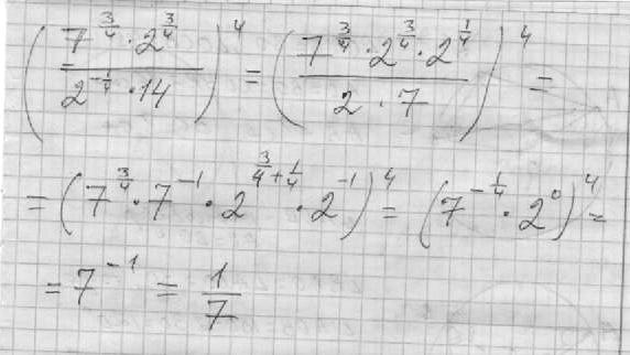
(7 ^ (3 / 4) × 2 ^ (3 / 4) / 2 ^ (−1 / 4) × 14) ^ 4 решите пожалуйста

Ответы

Ответ дал: математик2011
2
Пожалуйста!!!!!!!!!!!!!!!!!!!!!!!!!!!!!
Приложения:
Вас заинтересует