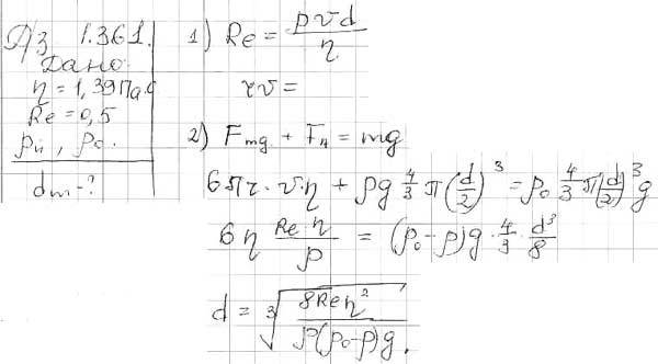
Высокий сосуд наполнен глицерином, коэффициент вязкости которого равен 13,9 Пз. В него опускают свинцовый шарик. Достигнув некоторой глубины, Шарик затем движется равномерно. Найти наибольший диаметр шарика, при котором движение еще остается ламинарным, если переход к турбулентному движению соответствует числу Рейнольдса Rе=0,5 (это значение числа Rе, при вычислении которого за характерный размер взят диаметр шарика).
Ответы
Ответ дал:
2
Думаю так ,я точно не уверен.......
Удачи...
Удачи...
Приложения:

Вас заинтересует
2 года назад
2 года назад
2 года назад
2 года назад
7 лет назад
9 лет назад
9 лет назад