Ответы
Ответ дал:
1
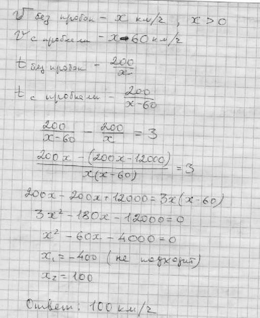
пусть х скорость без пробок, тогда х-60 скорость по пробкам
составим уравнение
200/х+3=200/(х-60)
200(х-60)+3х(х-60)=200х
200х-12000+3х²-180х=200х
3х²-180х-12000=0
х²-60х-4000=0
Д=3600+4*4000=3600+16000=19600
√Д=140
х1=(60+140)/2=100
х2=(60-140)/2=-40 посторонний корень, скорость не может быть меньше 0
Ответ скорость дачников без пробок 100км/ч
составим уравнение
200/х+3=200/(х-60)
200(х-60)+3х(х-60)=200х
200х-12000+3х²-180х=200х
3х²-180х-12000=0
х²-60х-4000=0
Д=3600+4*4000=3600+16000=19600
√Д=140
х1=(60+140)/2=100
х2=(60-140)/2=-40 посторонний корень, скорость не может быть меньше 0
Ответ скорость дачников без пробок 100км/ч
Ответ дал:
1
....................................................
Приложения:

Вас заинтересует
2 года назад
2 года назад
7 лет назад
7 лет назад
9 лет назад